連載· 29|《變風量空調系統》——5.2 新型變風量空調智慧控制柜設計選型
2018-01-12
5.2.2 新型變風量系統控制策略
變風量控制策略是實現系統舒適節能的重要環節,但由于以下多種因素,國內大部 分實施的變風量系統都無法實現節能的變靜壓控制。
(1)實際運行時,每個房間的負荷都是動態的,會受到天氣、朝向、人為因素、設 備等因素的影響,每個房間或區域設計負荷與實際負荷很難保證完全匹配,同一時間各 房間負荷變化趨勢也會有較大差異。按照傳統額變靜壓控制理論很難實現變靜壓控制。
(2)由于國內建筑規模一般都較大,每臺 AHU 承擔的供冷面積相對較大,末端裝 置數量往往超過 20 臺以上,控制目標閥位數量多、變化多樣性,對控制系統要求非常高。
(3)直接數字控制(DDC)無法滿足如此復雜的控制策略,系統設計、控制策略、 控制系統沒有協同匹配,完全脫節。
根據多年的實踐經驗,研究出適合國內需求的變風量系統、能夠解決目前存在的問題、實現變風量節能舒適運行的變風量系統——第四代變風量技術“集成模糊自適應控制變風量”,從硬件到軟件全面升級。

【源牌變風量空調智慧控制柜】
5.2.2.1 夏季制冷工況
1. 開、關機程序
開機分為軟啟動和正常啟動兩種模式。
(1)低溫送風軟啟動模式。假定送風溫度設計值為 9℃。機組開啟時,先關閉新風 閥,關閉加濕器,打開回風閥,將送風溫度設定值設為 15℃,開啟靜電除塵殺菌裝置, 延時 5s 后開啟送風機。送風機頻率根據選擇的靜壓控制模式(定靜壓、可變定靜壓或 變靜壓)來進行 PID 結合模糊控制,電動調節水閥根據送風溫度設定值與實測值的比較 來進行 PID 調節。
延時 15min 后,將送風溫度設定值設定為 12℃,電動調節水閥根據送風溫度設定 值與實測值的比較來進行 PID 調節。
再延時 15min 后,將送風溫度設定值設定為 9℃,電動調節水閥根據送風溫度設定 值與實測值的比較來進行 PID 調節;同時新風調節閥開始根據回風 CO2 濃度設定值與 實測值比較來進行 PID 調節。
(2)正常啟動模式。機組開啟時,關閉加濕器,打開回風閥,開啟靜電除塵殺菌裝 置,延時 5s 后開啟送風機。送風機頻率根據選擇的靜壓控制模式(定靜壓、可變定靜 壓或變靜壓)來進行 PID 調節,電動調節水閥根據送風溫度設定值與實測值的比較來進 行 PID 調節。
(3)關機程序。機組關閉時,先關閉送風機,再關閉靜電除塵殺菌裝置、關閉電動 調節水閥、關閉新風閥,同時向所有 VAV-TMN 發出停機命令。
2. 系統報警風機故障報警、過濾網壓差報警、加濕器故障報警和殺菌裝置故障報警。
3. 系統監測內容
所有傳感器信號,如室外溫濕度 OT/H、送風溫度 SAT、送風靜壓 SAP、回風 CO2 濃度、回風溫濕度 RAT/RAH 等以及冷凍(熱)水流量、供回水溫度和供冷(熱)量計量; 所有閥門、風機、VAV-TMN 等設備狀態。
4. 變風量控制策略
(1)靜壓控制模式。靜壓控制模式分為定靜壓控制模式、可變定靜壓控制、變靜壓 控制模式,三者可由操作者自由選擇。
1)定靜壓控制模式。風管靜壓初設值為 P(150Pa±10Pa),送風機頻率根據靜壓 設定值與實測值比較來進行 PID 調節。
2)可變靜壓控制模式。
a)投入運行后,自控系統根據初始靜壓設定值 P0(150Pa±10Pa)與實測值的比較, PID 變頻調節風機頻率(同定靜壓控制)。
b)控制系統隨時監測 VAV-TMN 各風閥的開啟狀態,并決定是否調整靜壓設定值。
VAV-TMN 風閥閥位定義見表 5-16。
表 5-16 VAV-TMN 風閥閥位定義表

● 靜壓增加。當正常工作的 100% 閥位 VAV 數量,NH 滿足條件 NH ≠ 0 時,且維持 5min,則靜壓增加;調整后靜壓設定值 P1=P0(原靜壓設定值)+ΔP1,其中 ΔP1=K×50×
(∑ 100% 閥位 VAV-TMN 風量 / ∑開啟的 VAV-TMN 風量),K 值默認為 1(可修改)。
● 靜壓降低。當同時滿足如下兩個條件時:
一是,正常工作的 100% 閥位 VAV 數量滿足條件:NH=0。
二是,低閥位 VAV 數量 NL 與開啟 VAV 的數量 N0 及非正常工作的 100% 閥位 VAV數量 N2 之間滿足條件:NL/(N0-N2)≥ 0.85。
維持 5min,則靜壓值降低,調整后靜壓 P1= 當前靜壓值 -ΔP2,ΔP2=5( 默認, 可修改)。
● 其余情況,維持當前頻率。
第一,為保證系統穩定,靜壓設定值更改后需有 15min 的穩定時間,即 15min 內靜 壓設定值不變。
第二,系統運行時,自動設定的靜壓均在靜壓上限 Pmax(400Pa 該值可修改)和靜 壓下限 Pmin(90Pa 該值可修改)之間,自動運行的頻率也在頻率上限 Fmax(50Hz,該值 可修改)和頻率下限 Fmin(25Hz,該值可修改)之間。
3)變靜壓控制模式。
a)投入運行后,自控系統根據變靜壓控制策略進行風機變頻調節,以保證大部分風閥都在高開度狀態。
b)控制系統隨時監測 VAV-TMN 各風閥的開啟狀態,并決定是否調整風機頻率。
● 頻率增加:當正常工作的 100% 閥位 VAV-TMN 數量,NH 滿足件 NH ≠ 0 時,且維持 5min, 則頻率增加。
調整后頻率設定值 F1=F0(原頻率設定值 25Hz)+ΔF1,其中 ΔF1=K×10×(S100%閥位 VAV-TMN 風量 /S 開啟的 VAV-TMN 風量),K 值默認為 1(可修改)。
● 頻率降低: 當同時滿足如下兩個條件時:
一是,正常工作的 100% 閥位 VAV 數量滿足條件:NH=0;
二是,低閥位 VAV-TMN 數量 NL 與開啟 VAV 的數量 N0 及非正常工作的 100% 閥 位 VAV-TMN 數量 N2 之間滿足條件:NL/(N0-N2)≥ 0.85。
維持 15min,則靜壓值降低,調整后頻率 F1= 當前頻率值 -ΔF2,ΔF2=2.5(默認, 可修改)。
● 其余情況,維持當前頻率。
第一,為保證系統穩定,頻率設定值更改后需有 15min 的穩定時間,即 15min 內頻 率設定值不變。
第二,系統運行時,自動設定的頻率也在頻率上限Hmax(50Hz,該值可修改)和頻 率下限 Hmin(25Hz,該值可修改)之間,自動運行的靜壓均在靜壓上限 Pmax(400Pa 該 值可修改)和靜壓下限 Pmin(90Pa,該值可修改)之間。
(2)總風量控制模式。
1)投入運行后,自控系統根據末端 VAV-TMN 設定風量(即需求風量設定值)進 行風機變頻調節,以保證風機風量滿足末端需求風量的要求。
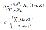
2)控制系統隨時監測 VAV-TMN 的設定風量,并決定是否調整風機頻率。每個末端定義一個相對設定風量的概念

式中為第 i 個末端的設定風量,由房間溫控器設定溫度與實測溫度的偏差計算的需 求風量設定值;Gd,i 為第 i 個末端的設計風量。
風機轉速控制關系式

式中 Hs ——運行工況下風機設定轉速;
Hd ——設計工況下的設計轉速;
Gs,i ——運行工況下的第 i 個末端的設計風量;
σ ——所有末端相對設定風量比的均方差;
R ——各個末端相對設定風量的平均值;
K ——自適應的整定參數,默認值為 1.0;
n ——末端個數。
為保證系統穩定,頻率設定值更改后需有 15min 的穩定時間,即 15min 內頻率設定值不變。
系統運行時,自動設定的頻率也在頻率上限 Fmax(50Hz,該值可修改)和頻率下限 Fmin(25Hz,該值可修改)之間,自動運行的靜壓均在靜壓上限 Pmax(400Pa 該值可修改) 和靜壓下限 Pmin(90Pa,該值可修改)之間。
5. 送風溫度控制模式
送風溫度控制模式分為定送風溫度控制模式和變送風溫度控制模式,兩者可由操作者自由選擇。
(1)定送風溫度控制模式。
送風溫度設定值為上位機設定值,不變,根據送風溫度設定值與實測值比較 PI 調節電動調節水閥。
(2)變送風溫度控制模式。
1)當系統完成軟啟動模式后,自控系統根據初始送風溫度設定值與實測值的比較,
PI 調節電動調節水閥(同定送風溫度控制)。
2)控制系統每 15min 監測一次 VAV-TMN 各風閥的開啟狀態,并決定是否調整溫度設定值。
● 溫度增加:夏季供冷工況,當所有房間的室內溫度都低于設定值,且超過 85%VAV-TMN 的風量均處于最小風量時,且維持 30min,則送風溫度設定值增加 1℃。 溫度最多增加 3℃(可修改)。
● 溫度降低:夏季供冷工況,當正常工作的 100% 閥位 VAV-TMN 數量,NH 滿足條件 NH ≠ 0 時,且維持 10min,則溫度設定值減小 1℃(可修改)。
溫度最小減到初始設定值。
6. 夏季過渡季除濕工況
在春夏相交的季節,可投入除濕工況。 風機頻率按定靜壓控制模式運行,靜壓設定值為150Pa(可修改)。 電動調節水閥間歇開關,開 15min,關 15min,打開時按定送風溫度模式,送風溫度設定值為 12℃(可修改)。
7. 夏季夜間全新風通風工況(適合帶排風機系統)
在制冷模式下,周一至周五工作日的每天凌晨 4:00,自動投入全新風運行工況, 運行時間長度為 1h(可修改)。
先遠程啟動 VAV-TMN,然后開起新風閥、關閉回風閥、開起送風機,送風機頻率 根據設定的靜壓自動調節靜壓設定值為 150Pa(可修改),同時開起排風機與送風機頻 率聯動。
工況結束時,關閉送風機、關閉新風閥、打開回風閥,遠程關閉全部 VAV-TMN。
8. 過渡季全新風運行工況(適合帶排風機系統) 當室外新風焓值小于室內焓值時,投入全新風運行工況。
新風閥全開、回風閥關閉,送風機頻率根據選定靜壓控制策略進行變頻控制,同時開啟排風機與送風機頻率聯動。
工況結束時,關閉送風機、關閉新風閥、打開回風閥,遠程關閉全部 VAV-TMN。
9. CO2 濃度控制根據回風 CO2 濃度控制新風閥開度。
新風調節閥根據回風 CO2 濃度設定值與實測值比較來行PID 調節。 CO2 濃度設定值初始設置為 1000×10-6(ppm),設定值可修改。 新風閥與風機連鎖,風機停止后新風閥關閉。
10. 室內正壓控制(適合核心筒豎井新風排風系統)
根據新風 VAV-TMN 和排風 VAV-TMN 的連鎖控制,保證室內一定正壓值 5~10Pa(可修改)。
新風機與排風機均采用變頻控制,采用可變靜壓控制策略。

